大学を出て就職してから丸13年、その間、結婚、出産、転職と、色々ありましたが、ずっと働き続け、家計の一部を担ってきました。
結婚してからは、オットと自分の収入と支出を管理する必要があり、頭を悩ませながらやってきました。
世間でも、共働きといっても色々なケースがあり、うまい家計管理の答えなどはないようです。
そこでウチでやっている方法を、1例としてご紹介しますね(^^)
まず、ざっくりとした方針としては、「収入に応じた家計負担をする」ということです。要はワリカンですね。
例えば、オットが10万円、私も10万円収入があるならば、50:50の負担とします。
一方で、支出はそれぞれの銀行口座から、固定費(保育費、光熱水費、管理費、習い事費など)がバラバラに引き落とされ、スーパーなどでのお買い物もいつ誰がいくら使うか分かりません。
そこで、請求書や納品書、レシート類をすべて家計簿に記録して、各自の負担分のみになるよう、精算しなければなりません。
数式で表すと、次のようになります。
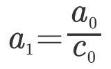
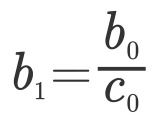
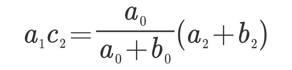
Aさんの収入をa0, Bさんの収入をb0とすると、世帯収入 c0 は、
となります。
そして、Aさんの家計負担割合a1は、

Bさんの家計負担割合b1は、

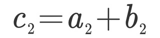
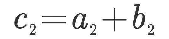
Aさん、Bさんが支払った家計費をそれぞれa2, b2とすると、
全体の家計費c2は
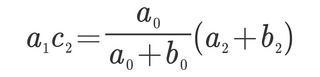
Aさんが本来負担すべき家計費は、
なので、
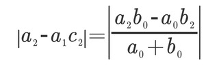
もし、a2 > a1c2 の場合、a2-a1c2をBから受け取る。
a2 < a1c2 の場合、a1c2-a2をBに支払う。
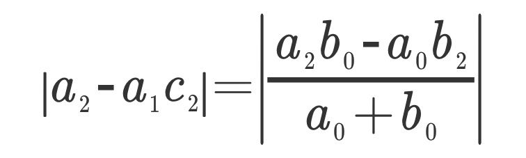
つまり、a2-a1c2の絶対値が精算額となります。つまり
となります。
すごく綺麗な数式で表現できました。右辺の分子は外積やモーメントの式によく似ています。
これが表す意味は!?いかがでしょう?
結婚した年に、Excelでこの清算をするシートを自作し、収入や費用を入力すれば自動で計算するようにシステム化しました。
精算額は1年間ためておいて一気にやることが多いです。
最初のうちは、年間の精算額が100万円を超えてしまったりして、ばらつきがあったのですが、いろいろ見直して、精算額がなるべく少なくて済むようにしています。
この家計管理、細かい性格の私がつけています。オットはこういうの、すごく苦手みたいなので>_< でも細かいと自称する私でも正直、レシートを1枚1枚入力していくの、すごくしんどくて、辛くてしょうがなかったです。 最初は自宅のPCで夜なべしてましたが、iPhoneを持つようになってからは、スプレッドシートアプリを使って移動中にコツコツレシート入力してCSVファイルにしていました。それでもしんどかったです。 ところが最近、OCR機能でレシートを電子化するアプリを見つけてしまったので、レシートを入力する手間が劇的に楽になりました!
レシートを撮影するだけで、テキスト情報に変換して、CSVファイル形式に整えてくれるんです!
できあがったCSVファイルをメール経由でevernoteにアップロードします。あとはPCのExcel家計簿ファイルにマージするだけです。
ようやく家計管理が楽にスムーズにできるようになりました(^^)
共働きの皆さんは、どうやって家計管理されてますか?
教えてくださーい\(^o^)/




コメント